
Dopo un anno di notizie tragiche, i dati della sperimentazione sul vaccino di Pfizer possono aprire una prospettiva nuova.
di Antonio Regalado
Un grafico sul covid-19 che è stato condiviso migliaia di volte illustra il funzionamento dei vaccini contro la malattia e la possibile uscita dall’inferno pandemico. La Food and Drug Administration degli Stati Uniti, nel frattempo, ha votato a favore dell’autorizzazione di emergenza per la somministrazione del vaccino di Pfizer, e il grafico spiega in buona parte il perché.
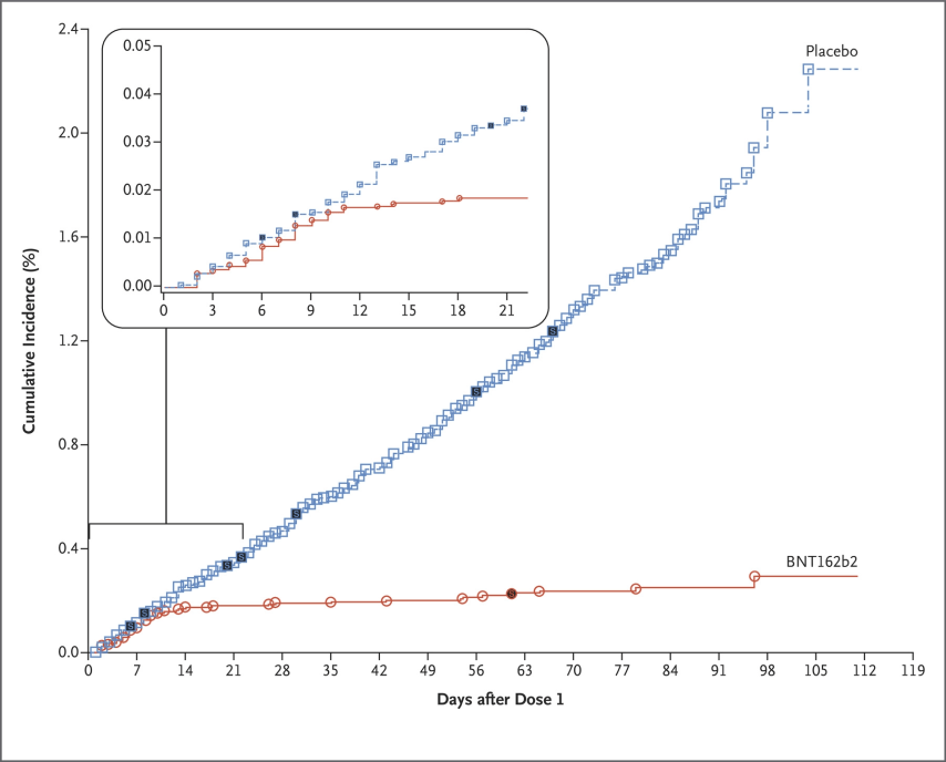
Pubblicato da Pfizer e dal suo partner, BioNTech, il grafico mostra la differenza nei tassi di infezione da covid-19 tra le persone che, nel loro studio, hanno ricevuto il nuovo vaccino (linea rossa) e le altre a cui è stato somministrato un placebo (linea blu). Quando una delle due righe salta, significa che si è verificato un nuovo caso di covid-19.
Ciò che i dati mostrano è che durante la prima settimana dopo aver ricevuto le dosi, entrambi i gruppi di persone hanno continuato a contrarre il virus all’incirca alla stessa velocità. Ma con il passare del tempo, le linee iniziano a separarsi in modo sempre più marcato. Questo è il risultato dell’effetto del vaccino, che di solito richiede alcuni giorni e viene potenziato da una seconda dose. Dopo due settimane, quasi nessun vaccinato si è ammalato, a differenza di chi aveva ricevuto il placebo.
“Nulla da segnalare. Si tratta di quello che succede normalmente con i vaccini”, ha spiegato Florian Krammer, un eminente immunologo, che ha pubblicato una versione dell’immagine su Twitter. Il trionfalismo è giustificato. I dati di questo grafico non lasciano spazio a possibili manovre disinformative. È chiaro come il giorno: questo vaccino è uno dei migliori che si sia mai visto.
Pfizer ha presentato il grafico in un articolo pubblicato il 10 dicembre sul “New England Journal of Medicine” e all’inizio della settimana come parte della sua richiesta alla Food and Drug Administration degli Stati Uniti per iniziare a distribuire il vaccino. Tale autorizzazione potrebbe essere concessa in qualsiasi momento ora che i consulenti dell’agenzia hanno votato a favore.
La validità delle prove di Pfizer sarà più importante che mai quando il vaccino inizierà a raggiungere cliniche e ospedali. I movimenti anti vaccinazione stanno cercando di alimentare timori sui social media e anche le persone comuni avanzano delle perplessità. I ricercatori hanno sempre saputo che i vaccini possono trasformare rapidamente le malattie infettive da flagelli a brutti ricordi. Da quando sono stati prodotti per la prima volta, e specialmente durante il XX secolo, i cambiamenti radicali introdotti dai vaccini sono stati registrati più e più volte.

Questi grafici di Our World in Data mostrano cosa è successo dopo l’introduzione dei vaccini per la poliomielite e il morbillo. La poliomielite ha messo i bambini in polmoni di acciaio e i genitori spaventati lontano dalle piscine. Poi, nel giro di pochi anni, la paura era sparita.

Le incognite comunque rimangono. Quanto dura la protezione dal covid-19? Nessuno lo sa, anche se di recente ci sono stati segni incoraggianti che l’immunità può durare anni nelle persone che hanno avuto la malattia. Inoltre, le scorte limitate significano che, almeno negli Stati Uniti, gran parte dei cittadini non riceverà un vaccino fino alla metà del 2021. Secondo l’Organizzazione mondiale della sanità, si potrebbe arrivare fino al 2022.
Dall’inizio della pandemia, le curve dei casi e dei decessi hanno ricordato quotidianamente che non è finita e che, ultimamente, la situazione sta peggiorando. La frase “tragico traguardo” compare regolarmente nei notiziari. Più di 3.000 americani sono morti in un solo giorno questa settimana a causa del covid-19.
La carta di Pfizer è l’antidoto a quelle curve della morte. Mostra come possiamo scendere dalle montagne russe. Man mano che le persone vengono vaccinate, sempre più di noi vivranno sulla curva rossa sicura e protetta, non sulla spaventosa curva blu dove il covid-19 può colpire in qualsiasi momento.
(rp)



